Back to ICS312

Mobius strip

Quiz Solutions

Each quiz is out of 3 points. Your 3 worst quiz grades are dropped at the end of term.


Quiz #14 (26 Apr)

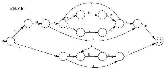
1. Construct a NFA using the mechanical method for a(b|c)*|b*.
a(b|c)*|b*

2. Construct a minimal-state DFA equivalent to the following DFA:
DFA

  NON-ACCEPT     ACCEPT
   1,3,4,6        2,5
a)  /    \        /
  3,4    1,6    2,5
b)  \     |      |
   3,4   1,6    2,5
a)  /     \      |
  3,4     1,6   2,5
b) \       |    /
   3,4    1,6  2,5
Min DFA

Quiz #13 (24 Apr)

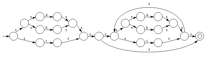
Use the mechanical method of construction to produce a NFA for (a|b|c)+.

Following a purely mechanical approach using only the seven building blocks given in lecture would produce this: ((a|b)|c)((a|b)|c)*

nfa of ((a|b)|c)((a|b)|c)*

However, if we had a building block for a 3-way "or" (R|S|T) and a "+" closure, we could produce this directly: (a|b|c)+

nfa of (a|b|c)+

Quiz #12 (10 Apr)

Produce a parse of a*a*a+a using the parsing machine [as given in the Set 24 notes].

    SYMBOL   STATE       INPUT    TRANSITION/REDUCTION
1.  [empty]  0         a*a*a+a|   Initial state
2.  a        0 4        *a*a+a|   "a" trans from 0 to 4
3.  T        0 3        *a*a+a|   T->a reduction
4.  T *      0 3 5       a*a+a|   "*" trans from 3 to 5
5.  T * a    0 3 5 7      *a+a|   "a" trans from 5 to 7
6.  T        0 3          *a+a|   T->T+a reduction
7.  T *      0 3 5         a+a|   "*" trans from 3 to 5
8.  T * a    0 3 5 7        +a|   "a" trans from 5 to 7
9.  T        0 3            +a|   T->T*a reduction
10. E        0 1            +a|   E->T reduction
11. E +      0 1 2           a|   "+" trans from 1 to 2
12. E + a    0 1 2 4          |   "a" trans from 2 to 4
13. E + T    0 1 2 6          |   T->a reduction
14. E        0 1              |   E->E+T reduction
15. ACCEPT

("|" = end of file)

Quiz #11 (22 Feb)

1) (OPEN BOOK) Provide the code required to produce the output shown from clock 1:
1000hz into timer; 250hx out of clock 1

; program clock 1 to produce a 250 hz signal (following example code format)
	mov	al, 01110110b	;initialize timer clock 1
	out	43h, al
	mov	ax, 4		;divide 1000hz input by 4 to get 250hz output
	out	41h, al		;clock 1 on port 41h, send low byte of divisor
	mov	al, ah
	out	41h, al		;send high byte of the divisor

2) (CLOSED BOOK) Describe the set of signals that occur when you press a key and how the interrupt routine for the keyboard gets executed:
CPU, Int Controllor, UART, and Keyboard, connected in a line.

Key pressed goes to UART
UART signals interrupt controller
IC interrupts CPU
  (if current routine can be interrupted by keyboard),
  specifying that a keyboard interrupt occurred
CPU finishes current instruction,
  and then saves state (next instruction and flags)
CPU calls system subroutine for handling keyboard input
CPU/Subroutine acknowledges IC
CPU reads data from UART along data bus
CPU returns to stored next instruction

Quiz #10 (20 Feb)

Assuming graphics mode 13h, determine the COL and ROW of the point indicated (front of top/right tail gun). (Image not to scale.)
A stick plane.

Nose (point): COL 200, ROW 100
Body (length): 50 pixels
Tail wing (diagonal length): 40 pixels (20 each side)
Gun: triangle with horizontal base of 7 pixels, attached 5 pixels from the body.

Since we know the location of nose, we just determine the offset from there.

COL/x = 200 (nose) + 50 (body) - 5 (tail wing) - 7 (gun base) = 238
ROW/y = 100 (nose) +  0 (body) - 5 (tail wing) - 0 (gun base) = 95

Answer: COL 238, ROW 95.

Quiz #9 (15 Feb)

Write the code to draw, in graphics mode 13h, a horizontal line of length 10 pixels, colored red (color code: 04h) whose left-hand end is at COL 40, ROW 60 of the graphics screen.

	mov	ax, 0A000h
	mov	es, ax		;so di now points into video memory

	mov	ah, 00h		;get into graphics video mode
	mov	al, 13h
	int	10h

	mov	di, (60 * 320) + 40	;row 60, col 40 (indexed from 0)
	mov	al, 04h			;red pixel
	mov	cx, 10			;line of length of 10 pixels
	cld				;draw forward (left to right)
	rep 	stosb

Quiz #8 (13 Feb)

Color codes: Yellow is Eh, red is 4h. Write a red 'D' on a yellow background at COL 32, ROW 9 by writing directly into video memory (ie, not using the int instruction). Text-based video memory starts at 80000h B800h.

	mov	ax, 0B800h
	mov	es, ax		;so di now points into video memory

	mov	ah, 00h		;get into text video mode (optional)
	mov	al, 03h		;(also clears screen)
	int	10h

	mov	di, 2 * ((9 * 80) + (32))	;row 9, col 32  (if indexed from 0)
	mov	ah, 0E4h			;yellow backround, red foreground
	mov	al, 'D'				;letter D
	stosw

Quiz #7 (01 Feb)

Write a macro called COMP such that COMP X, Y, N compares the first N bytes of string X and Y, and sets AX = 1 if they are equal or AX = 0 if they are not equal. No checking needs to be made as to whether the lengths of X and Y are <= N or that X and Y are strings. Example of use: COMP MES1, MES2, 5

	;Compares the first N characters of 2 strings (X and Y) for equality.
	;If equal, sets AX = 1; else AX = 0.
	;Does not preserve registers, so will also trash: ES, SI, DI, CX, and flags
COMP	MACRO X, Y, N
	LOCAL MATCH, DONE		;to avoid duplicate label error
					;if macro is used more than once
	push	ds
	pop	es			;so di in same segment as si

	lea	si, X
	lea	di, Y
	mov	cx, N
	cld				;ensure we'll go forwards
	repe	cmpsb

	jcxz	MATCH			;cx==0, so matched all of N chars
	mov	ax, 0			;else...
	jmp	DONE
MATCH:	mov	ax, 1
DONE:
	ENDM COMP

Quiz #6 (30 Jan)

Assuming:

	.DATA
M	DW	?
N	DW	?
...
	.CODE
Main	PROC
...
	push M
	push N
	call ADDER
...
Main	ENDP

Write the subroutine ADDER to set AX = M + N. Use the standard subroutine form.

Adder	PROC
	push	bp
	mov	bp, sp
	mov	ax, [bp + 6]		;M
	add	ax, [bp + 4]		;N
	pop	bp
	ret	4
Adder	ENDP

Quiz #5 (25 Jan)

Write the code to evalutate (M*N*T*S)/(R*F*G*H), assuming these are all pre-initialized word variables.

	mov	ax, M
	imul	N		;answer now in DX:AX
	idiv	R		;now in AX
	imul	T
	idiv	F
	imul	S
	idiv	G		;now in AX, but remainder in DX
	mov	DX, 0		;clear DX
	idiv	H		;final answer in AX

Quiz #4 (23 Jan)

  LIST 	DW 	10 DUP (?)

Assuming the 10 values in LIST have been initialized, write the code to add up the members of LIST with the result in ax. Use the loop instruction.

Here is one possible solution:

	mov	ax, 0		;clear ax for addition
	mov	bx, 0		;use a base pointer for offset into array
	mov	cx, 10          ;loop 10 times
ADDING:
	add	ax, LIST[bx]	;LIST[bx] is same as [LIST + bx]
	add	bx, 2		;move to next word
	loop	ADDING
				;sum now in ax

Quiz #3 (18 Jan)

NUM DW ?

For each, identify the type of the second operand:

MOV	AX, BX		;register
MOV	AX, NUM		;direct (memory)
MOV	AX, 32H		;immediate (constant)
MOV	AX, "IC"	;immediate (constant)
MOV	AX, [BX]	;indirect (memory)

Quiz #2 (16 Jan)

Write the outline code of an assembler program.

	.MODEL small
	.586		; allows Pentium instructions to be used
	.STACK 100H

	.DATA
; put data definitions here

	.CODE
MAIN  	PROC
	mov	ax, @data	;(optional: load ds seg register)
	mov	ds, ax
	;... procedure code here
	mov	ax, 4C00h	;(optional: quit to Dos at end)
	int	21h
MAIN	ENDP

SUB1  	PROC
	;... a second procedure
SUB1  	ENDP

END MAIN

Quiz #1b (11 Jan -- Speed Test) [1 point]

1) 6 = 0110b
   9 = 1001b
   Ah = 1010b
   Dh = 1101b

2) 2^5 = 32
   2^8 = 256
   2^3 = 8
   2^11 = 2,048

3) 1110b = Eh
   0101b = 5h
   1011b = Bh
   1100b = Ch

Quiz #1a (11 Jan) [2 points]

1) 2^9 = 512

2) 257,982 = Binary: 0011 1110 1111 1011 1110b
             Hex:    3EFBEh

3) 0 1001 1010 1011 = Hex: 9ABh
                      Decimal: 2,475

4)  10 1101 1000
  + 00 1110 0110
    11 1011 1110

5)  2FD03Fh
  + 3EE247h
    6EB286h


~ztomasze Index : TA Details : ICS312 : Quiz Solutions
http://www2.hawaii.edu/~ztomasze
Last Edited: 07 May 2007
©2006 by Z. Tomaszewski.